| Date | Module | Topic |
|---|---|---|
| 2025-08-26 | 1: Principles | Principles of data visualization |
| 2025-09-02 | 1: Principles | Good and bad visualizations |
Week 1
8/26/2025
๐ป ๐งฐ ๐ ๐ฅณ
โ๏ธ cooperstone.1@osu.edu
โ๏ธ quirozmoreno.1@osu.edu
If you have found these slides, youโve made it to the website! (Good job.)
A full version of the syllabus can be found on Carmen
A trimmed version of the syllabus can be found on our course site
Class will taught in a hybrid, synchronous manner, meaning I expect you to attend class during class time. This attendance can happen in person, or virtually via Zoom I have found that students who attend in person are more engaged, and tend to master material more quickly. But, it is up to you how you want to attend.
A combination of lecture, code run-throughs, live coding, and hands-on exercises.
Bring a laptop (not tablet) to class with R and RStudio downloaded (instructions)
Come with your questions!
Engage as much as you can!
We are here to help you and will match the enthusiasm that you put into this course. We expect that you will run into issues for which you would like help. You can ask questions:
You do not need to be an R expert for this class, but I will assume working-level knowledge of R programming. If you have no experience with R, but would still like to take this class, you can. I ask then you get yourself up to speed by taking this free online class https://www.edx.org/course/data-science-r-basics (audit only) before the start of the 3rd week of class.
Module assignments: After each module, there will be an assignment to provide practice for the techniques learned in class.
Class reflections: After 10 of the 15 weeks, you will write a 1 paragraph reflection on the material that was presented in class. This can include your thoughts on how you will use these lessons in your own research and data visualizations, ways in which you have investigated this topic (or expect to) on your own, or what else youโd like to learn in this area. The purpose of this assignment is not to be burdensome, but to keep you engaged in the course material, and providing feedback to me on what parts youโve found useful, what youโve struggled with, and what youโd like to see more of in the future.
Recitation submissions: I ask you submit 8 of 11 recitations to Carmen to show you have made a good faith effort to engage with the course material. I will mark these at 0 or 1 points, with 1 point given for completion of at least 70% of the assignment.
Capstone assignment: At the end of the semester, you will complete a capstone assignment where you create a series of visualizations based on your research data, data coming from your lab, or other data that is publicly available. I expect this assignment to be completed in R Markdown, annotated, and knitted into an easy-to-read .html file. I also expect your code to be fully commented such that I can understand what you are doing with each step, and why.
It is fine for you to work with your classmates/labmates/whoever, but I expect you to turn in your own independent assignments representing your work
All assignments are open book, googling/investigating is required!
The use of generative AI (e.g., ChatGPT, Co-Pilot) on your assignments is not allowed.
This is our tentative class schedule - but subject to change depending on our pacing, and your interests!
| Date | Module | Topic |
|---|---|---|
| 2025-08-26 | 1: Principles | Principles of data visualization |
| 2025-09-02 | 1: Principles | Good and bad visualizations |
| Date | Module | Topic |
|---|---|---|
| 2025-09-09 | 2: Coding fundamentals | R Markdown for reproducible research |
| 2025-09-16 | 2: Coding fundamentals | Wrangling, the basics |
| 2025-09-23 | 2: Coding fundamentals | ggplot 101 |
| 2025-09-30 | 2: Coding fundamentals | Themes, labels, facets (ggplot 102) |
| Date | Module | Topic |
|---|---|---|
| 2025-10-07 | 3: Data exploration | Data distributions |
| 2025-10-14 | 3: Data exploration | Correlations |
| 2025-10-28 | 3: Data exploration | Annotating statistics |
November 11 is Veterans Day (no class)
November 25 will be asynchronous
| Date | Module | Topic |
|---|---|---|
| 2025-11-04 | 4: Putting it together | Principal components analysis |
| 2025-11-18 | 4: Putting it together | Interactive plots |
| 2025-11-25 | 4: Putting it together | Manhattan plots and making lots of plots at once (asynchronous) |
| 2025-12-02 | 4: Putting it together | ggplot extension packages |
| Date | Module | Topic |
|---|---|---|
| 2025-10-21 | Capstone prep | Capstone plan prep, open session |
| 2025-12-09 | Capstone prep | Capstone assignment, open session |
Figure by Alberto Cairo
Anscombeโs quartet ๐ป




Figures from Justin Matejka and George Fitzmaurice
Bilbrey et al., New Phytologist, 2021
Figure adapted from one by Rick Scavetta



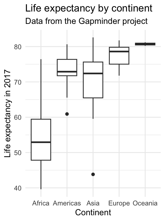
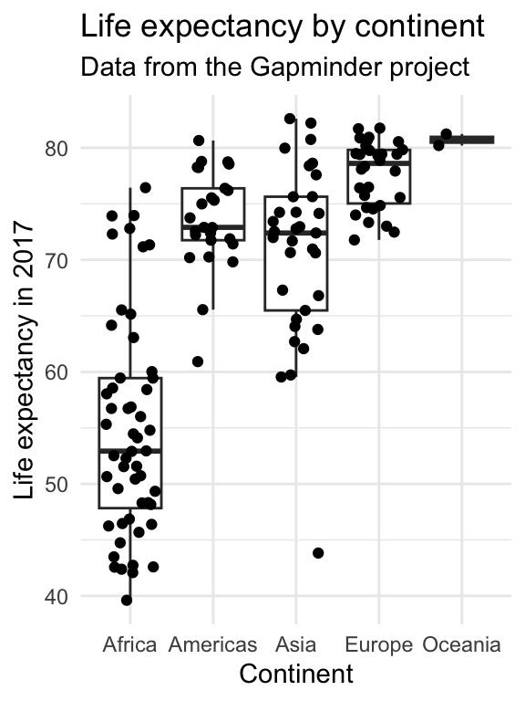
Length is easier to see than angles or areas.

Length is easier to see than angles or areas.


These are not.
#barbarplots

#barbarplots


#barbarplots






Use the same color schemes/shapes across figures
If youโre ordering/grouping, do so in the same manner
Declutter, and keep only parts that are informative (and spark joy) ๐ป
From https://socviz.co/lookatdata.html
Who are you talking to? ๐ข
What are you trying to convey? ๐
How can you fairly represent your data? ๐ฏ
Submit (through Carmen) by Monday 9/1/2025 at 11:59pm:
We will go through these next week. Daniel will pick the best good and the best bad visualizations and there will be prizes! ๐
01 Principles, ยฉ Jessica Cooperstone, 2025